- robin 的博客
第二章程序设计基础知识 第8节树
- @ 2025-6-24 21:55:41
第8节 树
在实际生活中,可以用线性结构描述数据元素之间逻辑关系的问题是很广泛的,但也有很多问题不能依靠线性结构来解决,例如家谱、行政组织机构等都是非线性的数据结构。其中树就是一种非线性的数据结构。
一、树的定义
树作为一种非线性的数据结构,是由 个结点组成的有限集合。
- 如果n为0时,树为空树;
- 如果 时,树有一个特定的结点——根结点。
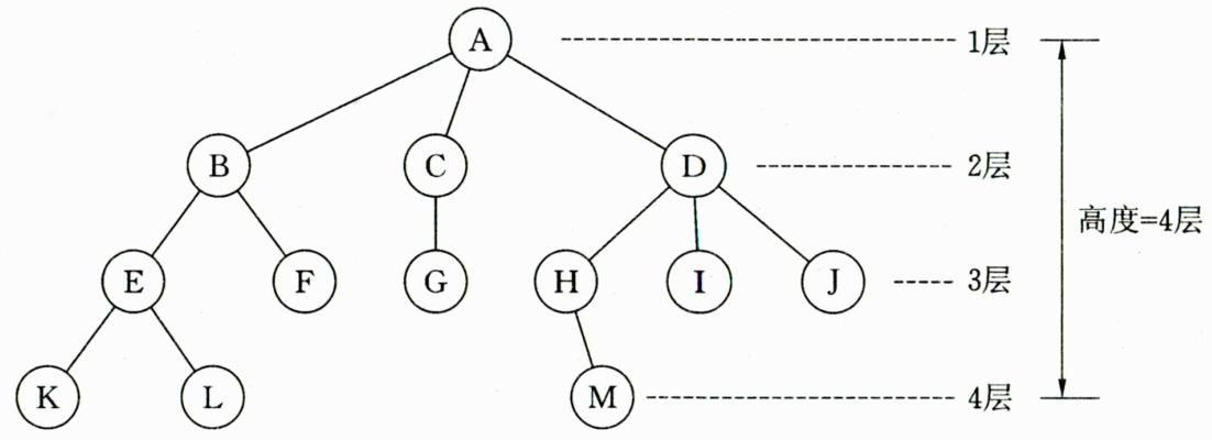
根结点只有直接后继,没有直接前驱。除根结点以外的其他结点划分为 个互不相交的有限集合T0,T1,T2,.,Tm-1,每个集合是一棵树,称为根结点的子树。树的示例如下:

二、树的相关概念
-
树的度:结点拥有的子树的数量为结点的度,度为0的结点是叶结点,度不为0的结点为分支结点,树的度定义为树的所有结点中度的最大值。

-
树的前驱和后继:除根结点没有前驱外,其余每个结点都有唯一的一个前驱结点。每个结点可以有0或多个后继结点。结点的直接后继称为结点的孩子,结点的直接前驱称为结点的父亲。结点的孩子的孩子称为结点的孙子,结点称为子孙的祖先。同一个双亲的孩子之间互称兄弟。

B、C、D的双亲结点是A,H、I、J为兄弟结点,H是叶子结点无孩子。
3. 树中结点的层次:树中根结点为第1层,根结点的孩子为第2层,依次类推。树中结点的最大层次称为树的深度或高度。

- 森林:是由 棵互不相交的树组成的集合。

三、树的性质
- 除根结点没有父结点外,其余结点有且仅有一个父结点。
- n个结点的树,有且仅有 条边。
- 树中任意两个结点之间有且仅有一条简单路径(指路径上的顶点都不相同的路径,不存在自环和重边)。
四、二叉树
二叉树(binary tree,简写BT)是一种度数为2的树,即二叉树的每个结点最多有两个子结点。每个结点的子结点分别称为左孩子、右孩子,它的两棵子树分别称为左子树、右子树。
1. 二叉树的遍历
所谓的遍历是指按一定的规律和次序访问树中的各个结点,而且每个结点仅被访问一次。遍历一般按照从左到右的顺序,共有4种遍历方法:前序遍历、中序遍历、后序遍历、层次遍历。
- 先序遍历:先访问根结点,再访问左子树,最后访问右子树。
- 后序遍历:先左子树,再右子树,最后根结点。
- 中序遍历:先左子树,再根结点,最后右子树。
- 层次遍历:每一层从左到右访问每一个结点。
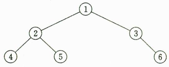
例1:求下图所示树的各种遍历结果。

先序遍历结果:ABDFECGHI。
中序遍历结果:DBEFAGHCI。
后序遍历结果:DEFBHGICA。
层次遍历结果:ABCDFGIEH。
例2:关于前面讲的表达式树,我们可以分别用先序、中序、后序的遍历方法得出完全不同的遍历结果,如对于下图遍历结果如下,它们正好对应表达式的3种表示方法。

- 前缀表示、波兰式:-+a*b-cd/ef
- 中缀表示:a+b*c-d-e/f
- 后缀表示、逆波兰式:abcd-*+ef/-
结论:已知前序序列和中序序列可以确定出二叉树;已知中序序列和后序序列也可以确定出二叉树;但已知前序序列和后序序列却不可以确定出二叉树。
例3:有二叉树中序序列为ABCEFGHD,后序序列为ABFHGEDC。 请画出此二叉树,并求前序序列。

解答:根据后序序列知根结点为C,因此左子树:中序序列为AB,后序序列为AB;右子树:中序序列为EFGHD,后序序列为FHGED;依次推得该二叉树的结构图。前序序列为CBADEGFH。
例4:已知结点的前序序列为ABCDEFG,中序序列为CBEDAFG。构造出二叉树。过程见下图:

2. 二叉树的性质
- 性质1:在二叉树的第i层上最多有 个结点 。
证明:很简单,用归纳法。当 时, 显然成立;现在假设第i - 1层时命题成立,即第i - 1层上最多有 个结点。由于二叉树的每个结点的度最多为2,故在第i层上的最大结点数为第i - 1层的2倍,即 。 - 性质2:深度为k的二叉树至多有 个结点 。
证明:在具有相同深度的二叉树中,仅当每一层都含有最大结点数时,其树中结点数最多。因此利用性质1可得,深度为k的二叉树的结点数至多为 ,故命题正确。
特别:一棵深度为k且有 个结点的二叉树称为满二叉树。这种树的特点是每层上的结点数都是最大结点数。可以对满二叉树的结点进行连续编号,约定编号从根结点起,自上而下,从左到右,由此引出完全二叉树的定义,深度为k,有n个结点的二叉树当且仅当其每一个结点都与深度为k的满二叉树中编号从1到n的结点一一对应时,称为完全二叉树。
下图B就是一个深度为4,结点数为12的完全二叉树。它有如下特征:叶结点只可能在 层次最大的两层上出现;对任一结点,若其右分支下的子孙的最大层次为m,则在其左分支 下的子孙的最大层次必为m或m+1。下图C、D不是完全二叉树,请大家思考为什么?

-
性质3:对任意一棵二叉树,如果其叶结点数为 ,度为2的结点数为 ,则一定满足 。
证明:因为二叉树中所有结点的度数均不大于2,所以结点总数(记为n)应等于0度结点数 、1度结点 和2度结点数 之和: 另一方面,1度结点有一个孩子,2度结点有两个孩子,故二叉树中孩子结点总数是 ,树中只有根结点不是任何结点的孩子,故二叉树中的结点总数又可表示为 由式子1和式子2得到: -
性质4:具有n个结点的完全二叉树的深度为 。
证明:假设深度为k,根据完全二叉树的定义,前面k - 1层一定是满的,所以 。但n又要满足 。所以, 。变换一下为 。以2为底取对数得到: 。而k是整数,所以 。 -
性质5:具有n个结点的二叉树的高度至少为 。
证明:根据"性质2"可知,高度为k的二叉树最多有 个结点。反之,对于包含n个节点的二叉树的高度至少为 。 -
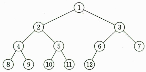
性质6:对于一棵n个结点的完全二叉树的任一个结点(编号为i),有以下关系:
- 如果 ,则结点i为根,无父结点;如果 ,则其父结点编号为 。
- 如果 ,则结点i无左孩子,否则左孩子编号为 。如果 ,则结点i无右孩子,否则右孩子编号为 。
证明:略,我们只要验证一下即可,总结如下图。
结点i和i+1在同一层上
结点i和i+1不在同一层上