首页
题库
训练
比赛
作业
讨论
排名
登录
注册
Language
English
한국어
简体中文
正體中文
#5656. 计算并联电阻的阻值
ID: 5656
传统题
1000ms
128MiB
尝试: 0
已通过: 0
难度: (无)
上传者:
robin
标签>
信息学奥赛一本通
常量和变量
洛谷
计算并联电阻的阻值
说明
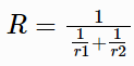
对于阻值为 r1 和 r2 的电阻,其并联电阻阻值公式计算如下:
输入两个电阻阻抗大小,浮点型。输出并联之后的阻抗大小,结果保留小数点后2位。
输入格式
两个电阻阻抗大小,浮点型,以一个空格分开。
输出格式
并联之后的阻抗大小,结果保留小数点后2位。
样例
1 2
0.67
进入在线编程模式 (Alt+E)
退出在线编程模式 (Alt+Q)
递交
重测整题
讨论 (0)
题解 (1)
文件
统计
还没有账户?
注册一个 少儿编程 通用账户,您就可以在我们提供的所有在线评测服务上提交代码、参与讨论。
现在注册
关闭
登录
使用您的 少儿编程 通用账户
用户名
密码
记住我
忘记密码或者用户名?