1 条题解
-
0
课堂练习
-
【NOIP2011】在使用高级语言编写程序时,一般提到的“空间复杂度”中的“空间”是指( )。
A.程序运行时理论上所占的内存空间
B.程序运行时理论上所占的数组空间
C.程序运行时理论上所占的硬盘空间
D.程序源文件理论上所占的硬盘空间
【答案】A
【分析】空间复杂度(Space Complexity)是对一个算法在运行过程中临时占用存储空间大小的量度,这个存储空间是指计算机内存。 -
【NOIP2013】斐波那契数列的定义如下: , , 。如果用下面的函数计算斐波那契数列的第 项,则其时间复杂度为( )。
int F(int n){ if(n<=2) return 1; else return F(n - 1)+F(n - 2); }A.
B.
【答案】D
【分析】该函数可以理解成一棵二叉树,根节点的值等于两个子节点的和,叶子节点的值为1。函数的最终返回值为 ,因此一共有 个叶子节点和 个非叶子节点,总的时间复杂度是 。-
【NOIP2013】 表示某个算法输入规模为 时的运算次数。如果 为常数,且有递归式 ,那么 。
A.
B.
C. D. 【答案】B
【分析】题中的递归式,相当于归并排序的复杂度,每次分治成两个子问题,合并子问题的代价为 ,我们可以想象成共有 层,每次代价总共需要 。因此总的时间复杂度为 。
-
【NOIP2015】设某算法的计算时间表示为递推关系式 ( 为正整数)及 ,则该算法的时间复杂度为( )。
A.
B.
【答案】D
【分析】本题考查复杂度的计算方法。 =...= ,所以是 。 -
【NOIP2016】假设某算法的计算时间表示为递推关系式 则算法的时间复杂度为( )。
A.
【答案】C
【分析】可以根据递推关系式一路推导得出结果:
-
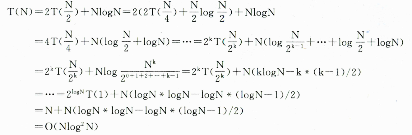
【NOIP2017】若某算法的计算时间表示为递推关系式: 则该算法的时间复杂度为( )。
A.
【答案】C
【分析】考查主定理。可以根据递推关系式一路推导得出结果:
-
【NOIP2012】如果对于所有规模为 的输入,一个算法均恰好进行( )次运算,我们可以说该算法的时间复杂度为 。
B. 【答案】A
【分析】计算机科学中,算法的时间复杂度是一个函数,它定量描述了该算法的运行时间。时间复杂度常用大 符号表述,忽略这个函数的低阶项和首项系数, 。
-
- 1
信息
- ID
- 15
- 时间
- 1000ms
- 内存
- 256MiB
- 难度
- (无)
- 标签
- 递交数
- 0
- 已通过
- 0
- 上传者